Skip to main content

Featured

G Unit Spinner Chain Gif

G Unit Spinner Chain Gif . Play over 265 million tracks for free on soundcloud. Hood internet & javelin) well if ain't the man then damn; 50 Cent G Unit Spinner Chain camping distractiv from campingdistractiv.blogspot.com Javelin & the hood internet) from alex wiley's ii and see the artwork, lyrics and similar artists. Relevant newest # 50 cent # candy shop # g unit # 50 # 50 cent # fifty # g unit # fiddy # game # music # rap # hip hop # 50 cent # from #. Club wiley after what happened to young buck a few

Chain Rule Second Derivative


Chain Rule Second Derivative. This calculator calculates the derivative of a function and then simplifies it. The first version is best for computing derivatives of.

multivariable calculus Second order derivative of a chain rule
multivariable calculus Second order derivative of a chain rule from math.stackexchange.com

There are two forms of it: Brush up on your knowledge of composite functions, and learn how to apply the chain rule correctly. We’re going to differentiate this with respect to y, and mix leibniz and newton notation like heathens.

In Differential Calculus, The Chain Rule Is A Formula Used To Find The Derivative Of A Composite Function.


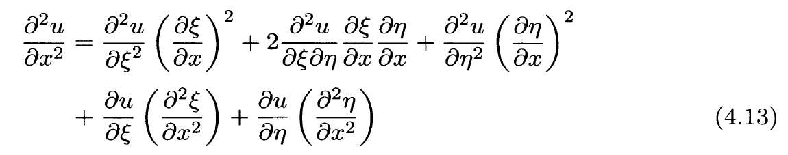
The chain rule solver allows you to find composition of differentiable functions quickly because manual calculation can be long and tricky. The first version is best for computing derivatives of. Step by step explanation of how to take the second order partial derivative of a function of u(xi;

The Chain Rule Is One Of The Most Powerful Tools For Computing Derivatives.


Determine the derivative of the outer function, dropping the inner function. In most of these, the formula remains the same, though the meaning of that formula may be vastly different. The chain rule formula is a formula for computing the derivative of the composition of two or more functions.

Brush Up On Your Knowledge Of Composite Functions, And Learn How To Apply The Chain Rule Correctly.


It's called the chain rule, although some text books call it the function of a function rule. Dy/dx = d/dx (x 2 + 1) = 2x. If both variables x, y are differentiable functions of a single variable t, then w is differentiable function t and.

We Differentiate The Outer Function Of Sin To Get Cos And We Keep The Inner Function Of 5𝑥 The Same.


In a composite function, the f (x) term is. For instance, if f and g are functions, then the chain rule expresses the derivative of their composition. Josh engwer (ttu) multivariable chain rules:

Simplify Your Answer By Writing It In Terms Of Square Roots.


The power rule for the first derivative, if applied twice, will produce the second derivative power rule as follows: Find du/dt and evaluate it at t = 0. Eta), where xi = xi(x,y) and eta=(x,y).feedback and correc.


Comments

Popular Posts